Bioteknologi A - bind 3
© Kopiering fra denne hjemmeside må kun finde sted på institutioner eller virksomheder der har indgået aftale med Copydan Tekst & Node og kun inden for de rammer der er nævnt i aftalen.
Tilbage til bogen
Figur 1
Bioinformatik kan bruges til at analysere mange forskellige typer data.
Illustrator: Lotte Thorup
© Nucleus Forlag ApS • ISBN 978-87-93647-09-1
Figur 3
Illustration af sekundærstruktur.
Illustrator: Lotte Thorup
© Nucleus Forlag ApS • ISBN 978-87-93647-09-1
Figur 4
Forskellige dele af genomet bruges som stregkodegener i forskellige organismegrupper.
Illustrator: Lotte Thorup
© Nucleus Forlag ApS • ISBN 978-87-93647-09-1
Figur 6
Resultat af en undersøgelse af prøver fra hajfinner og rokkegæller.
Illustrator: Lotte Thorup
© Nucleus Forlag ApS • ISBN 978-87-93647-09-1
Figur 7
Biologiske sekvenser kan være både nucleotid- og aminosyresekvenser.
Illustrator: Lotte Thorup
© Nucleus Forlag ApS • ISBN 978-87-93647-09-1
Figur 8
En basepositions indhold af baser kan angives med de viste symboler.
Illustrator: Lotte Thorup
© Nucleus Forlag ApS • ISBN 978-87-93647-09-1
Figur 9
Aminosyrer kan angives med 3- og 1-bogstavsforkortelser.
Illustrator: Lotte Thorup
© Nucleus Forlag ApS • ISBN 978-87-93647-09-1
Figur 10
Primærstrukturen af mindre peptider kan bestemmes vha. Edman degraderingsmetoden.
Illustrator: Hanne Wolff og Lotte Thorup
© Nucleus Forlag ApS • ISBN 978-87-93647-09-1
Figur 11
I RNA-sekundærstrukturer kan guanin baseparre med uracil og danne et wobble basepar.
Illustrator: Hanne Wolff og Lotte Thorup
© Nucleus Forlag ApS • ISBN 978-87-93647-09-1
Figur 12
En hårnålestruktur er en sekundærstruktur der kan dannes i mange nucleotidstrenge.
Illustrator: Lotte Thorup
© Nucleus Forlag ApS • ISBN 978-87-93647-09-1
Figur 13a
Sekundærstruktur af et tRNA-molekyle.
Illustrator: Lotte Thorup
© Nucleus Forlag ApS • ISBN 978-87-93647-09-1
Figur 13b
Tertiærstruktur af et tRNA-molekyle.
Illustrator: Protein Workshop PDB ID: 1EHZ
© Nucleus Forlag ApS • ISBN 978-87-93647-09-1
Figur 14
Dannelse og funktion af miRNA i en celle.
Illustrator: Claus Lunau
© Nucleus Forlag ApS • ISBN 978-87-93647-09-1
Figur 15
Homologe sekvenser udviklet fra samme oprindelige sekvens.
Illustrator: Lotte Thorup
© Nucleus Forlag ApS • ISBN 978-87-93647-09-1
Figur 16
Alignment af et udsnit af mitochondriegenomet fra udvalgte primater.
Illustrator: Lotte Thorup
© Nucleus Forlag ApS • ISBN 978-87-93647-09-1
Figur 17
Eksempler på forskellige problematiske primere.
Illustrator: Lotte Thorup
© Nucleus Forlag ApS • ISBN 978-87-93647-09-1
Figur 18
Mutationer inddeles i to overordnede typer: Transitioner og transversioner.
Illustrator: Hanne Wolff og Lotte Thorup
© Nucleus Forlag ApS • ISBN 978-87-93647-09-1
Figur 19
Pointsystem til alignment af nucleotidsekvenser.
Illustrator: Lotte Thorup
© Nucleus Forlag ApS • ISBN 978-87-93647-09-1
Figur 20
Ud fra et pointsystem kan man beregne en totalscore for et givent nucleotidalignment.
Illustrator: Lotte Thorup
© Nucleus Forlag ApS • ISBN 978-87-93647-09-1
Figur 21
Udvalgte programmer til alignment.
Illustrator: Lotte Thorup
© Nucleus Forlag ApS • ISBN 978-87-93647-09-1
Figur 22
BLOSUM62 bruges til alignment af proteinsekvenser.
Illustrator: Lotte Thorup
© Nucleus Forlag ApS • ISBN 978-87-93647-09-1
Figur 23
Pointsystem til alignment af proteinsekvenser.
Illustrator: Lotte Thorup
© Nucleus Forlag ApS • ISBN 978-87-93647-09-1
Figur 24
Ud fra et pointsystem kan man beregne en totalscore for et givent proteinalignment.
Illustrator: Lotte Thorup
© Nucleus Forlag ApS • ISBN 978-87-93647-09-1
Figur 25
Primærstrukturen for insulin fra køer består af en A- og en B-kæde.
Illustrator: Lotte Thorup
© Nucleus Forlag ApS • ISBN 978-87-93647-09-1
Figur 27
Assembly-alignment kan bruges til at danne en konsensussekvens.
Illustrator: Lotte Thorup
© Nucleus Forlag ApS • ISBN 978-87-93647-09-1
Figur 28
Store andele af eukaryote organismers genomer består af repetitive elementer.
Illustrator: Lotte Thorup
© Nucleus Forlag ApS • ISBN 978-87-93647-09-1
Figur 29
Sekvenskromatogram med baser og tilhørende Phred-score (Q).
Illustrator: Lotte Thorup
© Nucleus Forlag ApS • ISBN 978-87-93647-09-1
Figur 30
Ved kontrolleret opdeling af genom og indsættelse i BAC, kan man sekventere og samle genomet én BAC ad gangen.
Illustrator: Lotte Thorup
© Nucleus Forlag ApS • ISBN 978-87-93647-09-1
Figur 31
Ved høj dækningsgrad kan man skelne mellem variation og sekventerinsfejl.
Illustrator: Lotte Thorup
© Nucleus Forlag ApS • ISBN 978-87-93647-09-1
Figur 32
Der er positiv sammenhæng mellem antal AMY1-genkopier og produktion af α-amylase i spytkirtler.
Illustrator: Lotte Thorup
© Nucleus Forlag ApS • ISBN 978-87-93647-09-1
Figur 33
Mængden af data i Genbank er vokset eksplosivt.
Illustrator: Lotte Thorup
© Nucleus Forlag ApS • ISBN 978-87-93647-09-1
Figur 34
Forskellige versioner af BLAST er målrettet forskellige typer søgninger.
Illustrator: Lotte Thorup
© Nucleus Forlag ApS • ISBN 978-87-93647-09-1
Figur 35
Opbygning af henholdsvis a. oxytocin og b. vasopressin.
Illustrator: Hanne Wolff og Lotte Thorup
© Nucleus Forlag ApS • ISBN 978-87-93647-09-1
Figur 37
Med artspecifikke primere kan man undersøge om en prøve indeholder DNA fra udvalgte arter.
Illustrator: Claus Lunau
© Nucleus Forlag ApS • ISBN 978-87-93647-09-1
Figur 40
Ved eDNA-metabarcoding opformeres DNA fra udvalgte organismegrupper.
Illustrator: Claus Lunau
© Nucleus Forlag ApS • ISBN 978-87-93647-09-1
Figur 41
Ved at kombinere specifikke analyser kan man opnå ny viden om bakteriesamfund.
Illustrator: Lotte Thorup
© Nucleus Forlag ApS • ISBN 978-87-93647-09-1
Figur 42a
Eksempel på analyse af mikrobiotaen i en human fæcesprøve.
De mest hyppige typer mikroorganismer i prøven.
Illustrator: Lotte Thorup
© Nucleus Forlag ApS • ISBN 978-87-93647-09-1
Figur 42b
Eksempel på analyse af mikrobiotaen i en human fæcesprøve.
Mikroorganismer der er overrepræsenteret i prøven i forhold til den generelle befolkning.
Illustrator: Lotte Thorup
© Nucleus Forlag ApS • ISBN 978-87-93647-09-1
Figur 42c
Eksempel på analyse af mikrobiotaen i en human fæcesprøve.
Sammenligning af grupper af bakterier i forhold til udvalgte dele af befolkningen.
Illustrator: Lotte Thorup
© Nucleus Forlag ApS • ISBN 978-87-93647-09-1
Figur 43
Princippet i qPCR med TaqMan-prober.
Illustrator: Lotte Thorup
© Nucleus Forlag ApS • ISBN 978-87-93647-09-1
Figur 44
Kemisk struktur af fluorophoren (FAM).
Illustrator: Hanne Wolff
© Nucleus Forlag ApS • ISBN 978-87-93647-09-1
Figur 45
Graf af multiplex qPCR med tre forskellige TaqMan-prober.
Illustrator: Lotte Thorup
© Nucleus Forlag ApS • ISBN 978-87-93647-09-1
Figur 46a
Eksempel på princippet i associationskortlægning.
Bestemmelse af en gruppe syge personers genotype vha. en SNP-chip.
Illustrator: Lotte Thorup
© Nucleus Forlag ApS • ISBN 978-87-93647-09-1
Figur 46b
Eksempel på princippet i associationskortlægning.
Sammenligning af sygdomsgruppen med en rask kontrolgruppe.
Illustrator: Lotte Thorup
© Nucleus Forlag ApS • ISBN 978-87-93647-09-1
Figur 48
Eksempler på proteinstrukturer.
a. Collagen.
b. Insulin.
c. α-amylase.
d. Immunoglobin G.
e. P-type Ca2+-transporter.
f. Ferritin.
Illustrator: Frank Grønlund Jørgensen, Protein Workshop PDB ID: a. 1bkv, b. 4INS, c. 1ppi, d. 1igt, e. 1iwo, f. 1fha
© Nucleus Forlag ApS • ISBN 978-87-93647-09-1
Figur 50
Alginatlyase fra den marine bakterie Vibrio splendidus.
Illustrator: Frank Grønlund Jørgensen, Protein Workshop PDB ID: 5ZU5
© Nucleus Forlag ApS • ISBN 978-87-93647-09-1
Figur 51
Trinvis oprensning og analyse af protein.
Illustrator: Lotte Thorup
© Nucleus Forlag ApS • ISBN 978-87-93647-09-1
Figur 52
Sammenligning af molarmasse og molekylmasse for et protein.
Illustrator: Lotte Thorup
© Nucleus Forlag ApS • ISBN 978-87-93647-09-1
Figur 53
Nettoladning som funktion af pH for proteinerne albumin (grøn) og hæmoglobin (gul).
Illustrator: Lotte Thorup
© Nucleus Forlag ApS • ISBN 978-87-93647-09-1
Figur 54
Lysozym ødelægger bakterieceller på to forskellige måder.
a. En nydannet peptidsglycan-monomer.
b. Lysozym hydrolyserer bindingen mmel to monomerer.
c. Lysozym danner hulleri cellemembranen.
Illustrator: Lotte Thorup
© Nucleus Forlag ApS • ISBN 978-87-93647-09-1
Figur 55
a. Strukturformel for opløsningsmidlet Triton X-100.
b. Triton X-100 placeret i cellemembran.
Illustrator: a. Hanne Wolff og Lotte Thorup. b. Lotte Thorup
© Nucleus Forlag ApS • ISBN 978-87-93647-09-1
Figur 56
Princippet i gradientcentrifugering.
Illustrator: Lotte Thorup
© Nucleus Forlag ApS • ISBN 978-87-93647-09-1
Figur 57
Princippet i fældning af proteiner.
Illustrator: Lotte Thorup
© Nucleus Forlag ApS • ISBN 978-87-93647-09-1
Figur 58
Princippet i dialyse.
Illustrator: Lotte Thorup
© Nucleus Forlag ApS • ISBN 978-87-93647-09-1
Figur 59
Princippet i søjlekromatografi.
Illustrator: Lotte Thorup
© Nucleus Forlag ApS • ISBN 978-87-93647-09-1
Figur 61
Princippet i gelfiltrering.
Illustrator: Lotte Thorup
© Nucleus Forlag ApS • ISBN 978-87-93647-09-1
Figur 62
Ionbytningskromatografi.
Illustrator: Hanne Wolff og Lotte Thorup
© Nucleus Forlag ApS • ISBN 978-87-93647-09-1
Figur 63
a. Princippet i en kationsbytning.
b. Illustration af ligevægten.
Illustrator: a. Lotte Thorup. b. Hanne Wolff og Lotte Thorup
© Nucleus Forlag ApS • ISBN 978-87-93647-09-1
Figur 64
Princippet i hydrofob interaktionskromatografi (HIC).
Illustrator: Lotte Thorup
© Nucleus Forlag ApS • ISBN 978-87-93647-09-1
Figur 66
Binding mellem protein og Ni2+ i forbindelse med affinitetskromatografi.
Illustrator: Hanne Wolff og Lotte Thorup
© Nucleus Forlag ApS • ISBN 978-87-93647-09-1
Figur 67
Histidin-sidekæder ved pH 9 og ph 4.
Illustrator: Hanne Wolff og Lotte Thorup
© Nucleus Forlag ApS • ISBN 978-87-93647-09-1
Figur 71
Kemisk struktur af SDS.
Illustrator: Hanne Wolff og Lotte Thorup
© Nucleus Forlag ApS • ISBN 978-87-93647-09-1
Figur 72
Denaturering af protein ved hjælp af SDS.
Illustrator: Lotte Thorup og Hanne Wolff
© Nucleus Forlag ApS • ISBN 978-87-93647-09-1
Figur 73
Dithiothreitol bryder disulfidbindinger mellem cysteinsidekæder.
Illustrator: Hanne Wolff og Lotte Thorup
© Nucleus Forlag ApS • ISBN 978-87-93647-09-1
Figur 74
Resultat af SDS-PAGE.
Illustrator: Lotte Thorup
© Nucleus Forlag ApS • ISBN 978-87-93647-09-1
Figur 75
Sammenligning af SDS-PAGE og native PAGE af tre forskellige proteiner.
Illustrator: Lotte Thorup
© Nucleus Forlag ApS • ISBN 978-87-93647-09-1
Figur 76
Isoenzymer med forskelle i ladningstæthed kan adskilles ved native PAGE.
Illustrator: Lotte Thorup
© Nucleus Forlag ApS • ISBN 978-87-93647-09-1
Figur 77
Princippet i isoelektrisk fokusering.
Illustrator: Lotte Thorup
© Nucleus Forlag ApS • ISBN 978-87-93647-09-1
Figur 78
Princippet i 2D-PAGE.
Illustrator: Lotte Thorup
© Nucleus Forlag ApS • ISBN 978-87-93647-09-1
Figur 80
Hormonproducerende organer, kirtler og celler.
Illustrator: Claus Lunau
© Nucleus Forlag ApS • ISBN 978-87-93647-09-1
Figur 81
Frigivelse af hormoner kan reguleres.
Illustrator: Lotte Thorup
© Nucleus Forlag ApS • ISBN 978-87-93647-09-1
Figur 82
a. Negativ feedback.
b. Positiv feedback.
Illustrator: Lotte Thorup
© Nucleus Forlag ApS • ISBN 978-87-93647-09-1
Figur 83
Negativ feedback regulerer væksthormon (GH).
Illustrator: Lotte Thorup
© Nucleus Forlag ApS • ISBN 978-87-93647-09-1
Figur 84
Endokrin, parakrin og autokrin signalering.
Illustrator: Lotte Thorup
© Nucleus Forlag ApS • ISBN 978-87-93647-09-1
Figur 85
Oversigt over forskellige peptidhormoner.
Illustrator: Lotte Thorup
© Nucleus Forlag ApS • ISBN 978-87-93647-09-1
Figur 86
Insulin og glucagon regulerer blodsukkeret.
Illustrator: Claus Lunau
© Nucleus Forlag ApS • ISBN 978-87-93647-09-1
Figur 87
Syntese og udskillelse af peptidhormon.
Illustrator: Lotte Thorup
© Nucleus Forlag ApS • ISBN 978-87-93647-09-1
Figur 88
Proinsulin omdannes til insulin ved at C-peptidet fraspaltes.
Illustrator: Lotte Thorup
© Nucleus Forlag ApS • ISBN 978-87-93647-09-1
Figur 89
I beta-cellerne igangsætter glucose en reaktion.
Illustrator: Lotte Thorup
© Nucleus Forlag ApS • ISBN 978-87-93647-09-1
Figur 90
Proglucagon spaltes til glucagon eller GLP-1 afhængig af celletypen.
Illustrator: Lotte Thorup
© Nucleus Forlag ApS • ISBN 978-87-93647-09-1
Figur 91
Phosphorylering af tyrosin.
Illustrator: Hanne Wolff og Lotte Thorup
© Nucleus Forlag ApS • ISBN 978-87-93647-09-1
Figur 92
Insulinreceptoren er et eksempel på en receptorprotein-tyrosinkinase.
Illustrator: Lotte Thorup
© Nucleus Forlag ApS • ISBN 978-87-93647-09-1
Figur 93
Glucagonreceptoren er et eksempel på en G-protein-receptor.
Illustrator: Lotte Thorup
© Nucleus Forlag ApS • ISBN 978-87-93647-09-1
Figur 94
Enzymet adenylatcyclase omdanner ATP til cAMP.
Illustrator: Hanne Wolff og Lotte Thorup
© Nucleus Forlag ApS • ISBN 978-87-93647-09-1
Figur 95
Oversigt over hormoner i gruppen aminosyrederivater.
Illustrator: Lotte Thorup
© Nucleus Forlag ApS • ISBN 978-87-93647-09-1
Figur 96
b. Oxidation af glucose.
Illustrator: Hanne Wolff og Lotte Thorup
© Nucleus Forlag ApS • ISBN 978-87-93647-09-1
Figur 97
Syntese af adrenalin og noradrenalin.
Illustrator: Hanne Wolff og Lotte Thorup
© Nucleus Forlag ApS • ISBN 978-87-93647-09-1
Figur 98
Adrenalin og nordadrenalins virkemåde.
Illustrator: Lotte Thorup
© Nucleus Forlag ApS • ISBN 978-87-93647-09-1
Figur 99
Oversigt over steroidhormoner.
Illustrator: Lotte Thorup
© Nucleus Forlag ApS • ISBN 978-87-93647-09-1
Figur 100
Steroidhormoners virkemåde.
Illustrator: Claus Lunau
© Nucleus Forlag ApS • ISBN 978-87-93647-09-1
Figur 101
HPA-aksen.
CRH fra hypothalamus stimulerer hypofysen til af frigive ACTH.
Illustrator: Claus Lunau
© Nucleus Forlag ApS • ISBN 978-87-93647-09-1
Figur 102
Syntese af D-vitamin.
Illustrator: Lotte Thorup
© Nucleus Forlag ApS • ISBN 978-87-93647-09-1
Figur 107
Mandens sekundære kønskarakterer.
Illustrator: Claus Lunau
© Nucleus Forlag ApS • ISBN 978-87-93647-09-1
Figur 108
Hormonfrigivelse fra hypothalamus og hypofyse.
Illustrator: Claus Lunau
© Nucleus Forlag ApS • ISBN 978-87-93647-09-1
Figur 109
Leydigcelle stimulerers af LH til at producere testosteron.
Illustrator: Lotte Thorup
© Nucleus Forlag ApS • ISBN 978-87-93647-09-1
Figur 110
Regulering af kønshormonerne.
Illustrator: Lotte Thorup
© Nucleus Forlag ApS • ISBN 978-87-93647-09-1
Figur 111
Mandens kønsorganer.
Illustrator: Claus Lunau
© Nucleus Forlag ApS • ISBN 978-87-93647-09-1
Figur 112
Tværsnit af en testikel.
Illustrator: Claus Lunau
© Nucleus Forlag ApS • ISBN 978-87-93647-09-1
Figur 113
Tværsnit af en sædkanal.
Illustrator: Claus Lunau
© Nucleus Forlag ApS • ISBN 978-87-93647-09-1
Figur 115
Opbygning af en sædcelle.
Illustrator: Lotte Thorup
© Nucleus Forlag ApS • ISBN 978-87-93647-09-1
Figur 116
Kvindens sekundære kønskarakterer.
Illustrator: Claus Lunau
© Nucleus Forlag ApS • ISBN 978-87-93647-09-1
Figur 117
Kvindens kønsorganer.
Illustrator: Claus Lunau
© Nucleus Forlag ApS • ISBN 978-87-93647-09-1
Figur 119
Hormonpåvirkning af en theca- og en granulosacelle.
Illustrator: Lotte Thorup
© Nucleus Forlag ApS • ISBN 978-87-93647-09-1
Figur 120
Oversigt over menstruationscyklus.
Illustrator: Lotte Thorup
© Nucleus Forlag ApS • ISBN 978-87-93647-09-1
Figur 121
Hormonniveauet gennem menstruationscyklus.
Illustrator: Lotte Thorup
© Nucleus Forlag ApS • ISBN 978-87-93647-09-1
Figur 123
Fosterudvikling gennem graviditetens 38 uger.
Illustrator: Claus Lunau
© Nucleus Forlag ApS • ISBN 978-87-93647-09-1
Figur 124
FSH, LH og HCG hormoner.
Illustrator: Lotte Thorup
© Nucleus Forlag ApS • ISBN 978-87-93647-09-1
Figur 125
Hormonniveauet under graviditet.
Illustrator: Lotte Thorup
© Nucleus Forlag ApS • ISBN 978-87-93647-09-1
Figur 128
Udtagning af en fostervandsprøve.
Illustrator: Lotte Thorup
© Nucleus Forlag ApS • ISBN 978-87-93647-09-1
Figur 129
En karyotype med en translokation mellem kromosom 9 og 22.
Illustrator: Lotte Thorup
© Nucleus Forlag ApS • ISBN 978-87-93647-09-1
Figur 130
Opbygning af en mikro-arrayplade.
Illustrator: Lotte Thorup
© Nucleus Forlag ApS • ISBN 978-87-93647-09-1
Figur 131
Kromosomundersøgelse ved brug af et CGH mikroarray.
Illustrator: Lotte Thorup
© Nucleus Forlag ApS • ISBN 978-87-93647-09-1
Figur 132
En Robertsonsk translokation.
Illustrator: Lotte Thorup
© Nucleus Forlag ApS • ISBN 978-87-93647-09-1
Figur 133
Prænatale kromosom mikroarray analyser.
Illustrator: Lotte Thorup
© Nucleus Forlag ApS • ISBN 978-87-93647-09-1
Figur 134
Analyse af føtalt cfDNA.
Illustrator: Lotte Thorup
© Nucleus Forlag ApS • ISBN 978-87-93647-09-1
Figur 135
Dideoxynucleotider.
Illustrator: Hanne Wolff og Lotte Thorup
© Nucleus Forlag ApS • ISBN 978-87-93647-09-1
Figur 136
Forløbet i en Sanger-sekventering.
Illustrator: Lotte Thorup
© Nucleus Forlag ApS • ISBN 978-87-93647-09-1
Figur 139
Kemisk struktur af DDT.
Illustrator: Hanne Wolff og Lotte Thorup
© Nucleus Forlag ApS • ISBN 978-87-93647-09-1
Figur 142
Eksempler på forskellige stoffers fordelingsligevægt Kow.
Illustrator: Lotte Thorup
© Nucleus Forlag ApS • ISBN 978-87-93647-09-1
Figur 143
Kviksølv og andre tungmetaller kan binde til proteinernes SH-grupper.
Illustrator: Lotte Thorup
© Nucleus Forlag ApS • ISBN 978-87-93647-09-1
Figur 145
Globalt forbrug af DDT.
Illustrator: Lotte Thorup
© Nucleus Forlag ApS • ISBN 978-87-93647-09-1
Figur 146
DDT virker som insektgift ved at påvirke Na+-kanalerne..
Illustrator: Lotte Thorup
© Nucleus Forlag ApS • ISBN 978-87-93647-09-1
Figur 147
DDT omdannes til DDE ved eliminition af HCl.
Illustrator: Hanne Wolff og Lotte Thorup
© Nucleus Forlag ApS • ISBN 978-87-93647-09-1
Figur 149
Kemisk struktur af forskelligetyper af PCB.
Illustrator: Hanne Wolff og Lotte Thorup
© Nucleus Forlag ApS • ISBN 978-87-93647-09-1
Figur 151
Kemisk struktur af et udvalg af dioxiner.
Illustrator: Hanne Wolff og Lotte Thorup
© Nucleus Forlag ApS • ISBN 978-87-93647-09-1
Figur 152
Oversigt over pesticidtyper.
Illustrator: Lotte Thorup
© Nucleus Forlag ApS • ISBN 978-87-93647-09-1
Figur 153
a. Salg af pesticid til anvendelse i plantavl.
b. Gennemsnitlig behandlingshypighed.
Illustrator: Lotte Thorup
© Nucleus Forlag ApS • ISBN 978-87-93647-09-1
Figur 154
Pesticiders transport og omsætning i jorden.
Illustrator: Lotte Thorup
© Nucleus Forlag ApS • ISBN 978-87-93647-09-1
Figur 156
Resultater af test for udvalgte hormonforstyrrende stoffer i urinprøver.
Illustrator: Lotte Thorup
© Nucleus Forlag ApS • ISBN 978-87-93647-09-1
Figur 157
Transporten af steroidhormoner i blodet påvirkes af hormonlignende stoffer.
Illustrator: Claus Lunau
© Nucleus Forlag ApS • ISBN 978-87-93647-09-1
Figur 158
Et udefrakommende stof kan blokere for et hormons funktion.
Illustrator: Lotte Thorup
© Nucleus Forlag ApS • ISBN 978-87-93647-09-1
Figur 159
Stoffer der mistænkes for at have en hormonforstyrrende virkning.
Illustrator: Lotte Thorup
© Nucleus Forlag ApS • ISBN 978-87-93647-09-1
Figur 160
Kemiske strukturer for stoffer der mistænkes for at have en hormonforstyrrende virkning.
Illustrator: Hanne Wolff og Lotte Thorup
© Nucleus Forlag ApS • ISBN 978-87-93647-09-1
Figur 162
Ændringer som hormonforstyrrende stoffer mistænkes for at være årsag til.
Illustrator: Lotte Thorup
© Nucleus Forlag ApS • ISBN 978-87-93647-09-1
Figur 163
a. AGD.
b. Hypospadi.
c. Kryptorkisme.
Illustrator: Claus Lunau
© Nucleus Forlag ApS • ISBN 978-87-93647-09-1
Figur 164
Oversigt over kønsdifferentiering i fostertilstanden.
Illustrator: Claus Lunau
© Nucleus Forlag ApS • ISBN 978-87-93647-09-1
Figur 165
Anti-androgene stoffer påvirker den mandlige kønsudvikling negativt.
Illustrator: Lotte Thorup
© Nucleus Forlag ApS • ISBN 978-87-93647-09-1
Figur 166
Tendenslinjer for puljede data fra undersøgelelser over mænds sædkvalitet.
a. Antal sædceller totalt.
b. Fald i indhold af levende sædceller.
Illustrator: Lotte Thorup
© Nucleus Forlag ApS • ISBN 978-87-93647-09-1
Figur 167
Antal konstaterede tilfælde af testikelkræft samt dødsfald.
Illustrator: Lotte Thorup
© Nucleus Forlag ApS • ISBN 978-87-93647-09-1
Figur 169
Organer og endokrine kirtler der er påvirket af hormonforstyrrende miljøfremmede stoffer.
Illustrator: Lotte Thorup
© Nucleus Forlag ApS • ISBN 978-87-93647-09-1
Figur 172
Dosis-responskurve for et dødeligt stoft.
Illustrator: Lotte Thorup
© Nucleus Forlag ApS • ISBN 978-87-93647-09-1
Figur 177
Celletyper og molekylære komponenter i det ydre, uspecifikke og specifikke immunforvar.
Illustrator: Lotte Thorup
© Nucleus Forlag ApS • ISBN 978-87-93647-09-1
Figur 178
Det ydre forsvar med fysiske og kemiske barrierer.
Illustrator: Claus Lunau
© Nucleus Forlag ApS • ISBN 978-87-93647-09-1
Figur 179
Fagocytose af en mikroorganisme.
Illustrator: Lotte Thorup
© Nucleus Forlag ApS • ISBN 978-87-93647-09-1
Figur 180
Tre typer granulocytter.
Illustrator: Lotte Thorup
© Nucleus Forlag ApS • ISBN 978-87-93647-09-1
Figur 181
Monocytter modnes til makrofager.
Illustrator: Lotte Thorup
© Nucleus Forlag ApS • ISBN 978-87-93647-09-1
Figur 182
Dendritceller migrerer til lymfeknuderne.
Illustrator: Lotte Thorup
© Nucleus Forlag ApS • ISBN 978-87-93647-09-1
Figur 183
NK-celler kan identificere og ødelægge virusinficerede eller unormale celler.
Illustrator: Lotte Thorup
© Nucleus Forlag ApS • ISBN 978-87-93647-09-1
Figur 184
Histamin er et vigtigt signalstof der udskiles af mastcellerne.
Illustrator: Hanne Wolff og Lotte Thorup
© Nucleus Forlag ApS • ISBN 978-87-93647-09-1
Figur 185
Komplementsystemets forskellige virkemåder.
Illustrator: Lotte Thorup
© Nucleus Forlag ApS • ISBN 978-87-93647-09-1
Figur 186
En virusinficeret celle udskiller interferon.
Illustrator: Lotte Thorup
© Nucleus Forlag ApS • ISBN 978-87-93647-09-1
Figur 188
En typisk inflammationsreaktion.
Illustrator: Claus Lunau
© Nucleus Forlag ApS • ISBN 978-87-93647-09-1
Figur 189
MHC II præsenterer antigen for T-cellereceptor på en CD4 T-lymfocyt.
Illustrator: Lotte Thorup
© Nucleus Forlag ApS • ISBN 978-87-93647-09-1
Figur 190
Antigenpræsentation.
Illustrator: Lotte Thorup
© Nucleus Forlag ApS • ISBN 978-87-93647-09-1
Figur 191
Toll-receptorer (TLR) findes på cellemembran og intracellulært.
Illustrator: Lotte Thorup
© Nucleus Forlag ApS • ISBN 978-87-93647-09-1
Figur 192
T-Lymfocytter er en del af det specifikke immunforsvar.
Illustrator: Lotte Thorup
© Nucleus Forlag ApS • ISBN 978-87-93647-09-1
Figur 193
B-lymfocyt med B-cellereceptor (BCR).
Illustrator: Lotte Thorup
© Nucleus Forlag ApS • ISBN 978-87-93647-09-1
Figur 194
Y-formet grundstruktur af antistofklassen IgG.
Illustrator: Lotte Thorup
© Nucleus Forlag ApS • ISBN 978-87-93647-09-1
Figur 195
Antistoffer opdeles i fem klasser.
Illustrator: Lotte Thorup
© Nucleus Forlag ApS • ISBN 978-87-93647-09-1
Figur 196
Relativ mængde af IgG og IgM i blodet.
Illustrator: Lotte Thorup
© Nucleus Forlag ApS • ISBN 978-87-93647-09-1
Figur 197
Relativ mængde af interferon, NK-celler, T-celler, anstistof og virus under en infektion.
Illustrator: Lotte Thorup
© Nucleus Forlag ApS • ISBN 978-87-93647-09-1
Figur 198
Reaktioner under bekæmpelse af en typisk virusinfektion.
Illustrator: Lotte Thorup
© Nucleus Forlag ApS • ISBN 978-87-93647-09-1
Figur 200
Forskellige typer af virus.
Illustrator: Lotte Thorup
© Nucleus Forlag ApS • ISBN 978-87-93647-09-1
Figur 201
Opbygning af forskellige virustyper.
Illustrator: Lotte Thorup
© Nucleus Forlag ApS • ISBN 978-87-93647-09-1
Figur 203
Oversigt over forskellige virustyper.
Illustrator: Lotte Thorup
© Nucleus Forlag ApS • ISBN 978-87-93647-09-1
Figur 204
Infektionscyklus for influenzavirus.
Illustrator: Lotte Thorup
© Nucleus Forlag ApS • ISBN 978-87-93647-09-1
Figur 205
Infektionscyklus for HIV.
Illustrator: Lotte Thorup
© Nucleus Forlag ApS • ISBN 978-87-93647-09-1
Figur 206
En bakteriofag angriber en bakterie og bekæmpes med et system af proteiner.
Illustrator: Claus Lunau
© Nucleus Forlag ApS • ISBN 978-87-93647-09-1
Figur 207
Det danske vaccinationsprogram i 2019.
Illustrator: Lotte Thorup
© Nucleus Forlag ApS • ISBN 978-87-93647-09-1
Figur 209
Princippet i DNA-vaccine.
Illustrator: Lotte Thorup
© Nucleus Forlag ApS • ISBN 978-87-93647-09-1
Figur 212
Princippet i indirekte ELISA-test.
Illustrator: Lotte Thorup
© Nucleus Forlag ApS • ISBN 978-87-93647-09-1
Figur 216
Antal tilfælde af infektioner med MRSA.
Illustrator: Lotte Thorup
© Nucleus Forlag ApS • ISBN 978-87-93647-09-1
Figur 217
Pencillinsvamps hæmning af Staphylococcus-bakterier.
Illustrator: Lotte Thorup
© Nucleus Forlag ApS • ISBN 978-87-93647-09-1
Figur 218
Antibiotika angriber bakteriecellen på forskellige måder.
Illustrator: Lotte Thorup
© Nucleus Forlag ApS • ISBN 978-87-93647-09-1
Figur 219
a. Strukturformel for benzylpenicillin.
b. Generel strukturformel for penicilliner.
Illustrator: Hanne Wolff og Lotte Thorup
© Nucleus Forlag ApS • ISBN 978-87-93647-09-1
Figur 220
a. Strukturformel for ampicillin.
b. Strukturformel for phenoxymethylpenicillin.
c. Strukturformel for methicillin.
Illustrator: Hanne Wolff og Lotte Thorup
© Nucleus Forlag ApS • ISBN 978-87-93647-09-1
Figur 221
Strukturformel for cephalosporin.
Illustrator: Hanne Wolff og Lotte Thorup
© Nucleus Forlag ApS • ISBN 978-87-93647-09-1
Figur 222
Generel strukturformel for carbapenemer.
Illustrator: Hanne Wolff og Lotte Thorup
© Nucleus Forlag ApS • ISBN 978-87-93647-09-1
Figur 223
Strukturformel for vancomycin.
Illustrator: Hanne Wolff og Lotte Thorup
© Nucleus Forlag ApS • ISBN 978-87-93647-09-1
Figur 224
Cellevæggens opbygning hos grampositiv bakterie.
Illustrator: Lotte Thorup
© Nucleus Forlag ApS • ISBN 978-87-93647-09-1
Figur 225
Penicillin og vancomycin hæmmer cellevægsdannelsen.
Illustrator: Lotte Thorup
© Nucleus Forlag ApS • ISBN 978-87-93647-09-1
Figur 226
Penicillin hæmmer carboxypeptidasen ved at danne en esterbinding med enzymer.
Illustrator: Hanne Wolff og Lotte Thorup
© Nucleus Forlag ApS • ISBN 978-87-93647-09-1
Figur 227
Vancomycin hæmmer carboxypeptidasen ved af danne hydrogenbindinger til de peptider der skal danne tværbroer.
Illustrator: Hanne Wolff og Lotte Thorup
© Nucleus Forlag ApS • ISBN 978-87-93647-09-1
Figur 228 a
Strukturformel for polymyxin B.
Illustrator: Hanne Wolff og Lotte Thorup
© Nucleus Forlag ApS • ISBN 978-87-93647-09-1
Figur 228 b
Virkning på cellemembran.
Illustrator: Lotte Thorup
© Nucleus Forlag ApS • ISBN 978-87-93647-09-1
Figur 229
Tetracyclin binder til ribosomets lille subunit hvorved tRNA ikke kan bindes.
Illustrator: Lotte Thorup
© Nucleus Forlag ApS • ISBN 978-87-93647-09-1
Figur 230
a. Sulfonamider hæmmer dihydropteroat-syntase ved at konkurrere med enzymets substrat om binding.
b. Strukturformler for de to substrater der konkurrerer.
Illustrator: a. Lotte Thorup. b. Hanne Wolff og Lotte Thorup
© Nucleus Forlag ApS • ISBN 978-87-93647-09-1
Figur 231
Generel strukturformel for fluoroquinolon.
Illustrator: Hanne Wolff
© Nucleus Forlag ApS • ISBN 978-87-93647-09-1
Figur 234
Bioreaktor hvor den biologiske produktion af penicillin foregår.
Illustrator: Lotte Thorup
© Nucleus Forlag ApS • ISBN 978-87-93647-09-1
Figur 235
Vækstkurve for Penicillium chrysogenum.
Illustrator: Lotte Thorup
© Nucleus Forlag ApS • ISBN 978-87-93647-09-1
Figur 236
Strukturformel for butylethanoat.
Illustrator: Hanne Wolff
© Nucleus Forlag ApS • ISBN 978-87-93647-09-1
Figur 237
Fordelingsforhold for penicillin G opløst i vand og butylethanoat.
Illustrator: Lotte Thorup
© Nucleus Forlag ApS • ISBN 978-87-93647-09-1
Figur 238
Oprensning af penicillin efter produktion.
Illustrator: Lotte Thorup
© Nucleus Forlag ApS • ISBN 978-87-93647-09-1
Figur 239
Kemisk syntese af penicillin G.
Illustrator: Hanne Wolff og Lotte Thorup
© Nucleus Forlag ApS • ISBN 978-87-93647-09-1
Figur 240
R-gruppen i forskellige penicilliner.
Illustrator: Lotte Thorup og Hanne Wolff
© Nucleus Forlag ApS • ISBN 978-87-93647-09-1
Figur 241
Udvikling i udskrivning af antibiotika hos praktiserende læger.
Illustrator: Lotte Thorup
© Nucleus Forlag ApS • ISBN 978-87-93647-09-1
Figur 242
Resistensudvikling der skyldes selektion pga. antibiotika i miljøet.
Illustrator: Lotte Thorup
© Nucleus Forlag ApS • ISBN 978-87-93647-09-1
Figur 243
Konjugation, transduktion og transformation.
Illustrator: Lotte Thorup
© Nucleus Forlag ApS • ISBN 978-87-93647-09-1
Figur 244
β-lactamase hydrolyserer amidbindingen i β-lactamringen.
Illustrator: Hanne Wolff og Lotte Thorup
© Nucleus Forlag ApS • ISBN 978-87-93647-09-1
Figur 245
Mutation forhindrer at vancomycin bindes.
Illustrator: Lotte Thorup
© Nucleus Forlag ApS • ISBN 978-87-93647-09-1
Figur 246
Landbrugets forbrug af antibiotiske vækstfremmere og dyrlægeordineret antibiotika.
Illustrator: Lotte Thorup
© Nucleus Forlag ApS • ISBN 978-87-93647-09-1
Figur 248
Fordeling af antibiotika til dyr.
Illustrator: Lotte Thorup
© Nucleus Forlag ApS • ISBN 978-87-93647-09-1
Figur 249
Bestanden af svin i Danmark.
Illustrator: Lotte Thorup
© Nucleus Forlag ApS • ISBN 978-87-93647-09-1
Figur 250
Fordeling af MRSA-infektioner opgjort på smittekilder.
Illustrator: Lotte Thorup
© Nucleus Forlag ApS • ISBN 978-87-93647-09-1
Figur 251
Forekomst af MRSA i europæiske lande.
Illustrator: Lotte Thorup
© Nucleus Forlag ApS • ISBN 978-87-93647-09-1
Figur 252
Antal urinprøver med forekomst af E. coli.
Illustrator: Lotte Thorup
© Nucleus Forlag ApS • ISBN 978-87-93647-09-1
Figur 253
Andel af prøver hvor E. coli viser resistens mod et antibiotikum.
Illustrator: Lotte Thorup
© Nucleus Forlag ApS • ISBN 978-87-93647-09-1
Figur 256
Strukturformel for thioridazin.
Illustrator: Hanne Wolff og Lotte Thorup
© Nucleus Forlag ApS • ISBN 978-87-93647-09-1
Figur 257
Vækstforsøg med MRSA.
Illustrator: Lotte Thorup
© Nucleus Forlag ApS • ISBN 978-87-93647-09-1
Figur 258
Forskellige typer af antimikrobielle peptider.
a. LL-37.
b. Human lactoferricin.
c. Human β-defensin.
d. Indolicidin.
Illustrator: Frank Grønlund Jørgensen, Protein Workshop a. David S. Goodsell and RCSB PDB, Molecule of the Month: https://pdb101.rcsb.org/motm/72. CC BY 4.0. https://creativecommons.org/licenses/by/4.0/. b. PDB ID: 1C17
© Nucleus Forlag ApS • ISBN 978-87-93647-09-1
Figur 259
a. Positivt ladede antimikrobielle peptider bindes til negativt ladede bakteriemembraner.
b. Antimikrobielle peptider borer sig ned i membranen.
c. Der dannes en pore i cellemembranen, hvorved bakterien dør.
d. Antimikrobielt peptid er trængt ind i cytoplasmaen og binder til et intracellulært protein.
Illustrator: Lotte Thorup
© Nucleus Forlag ApS • ISBN 978-87-93647-09-1
Figur 260
Bakteriofag inficerer en stavformet bakterie.
Illustrator: Lotte Thorup
© Nucleus Forlag ApS • ISBN 978-87-93647-09-1
Figur 261
a. Bakteriofagers lytiske cyklus.
b. Overfladeproteinet er afgørende for at bakteriofagen kan bindes til cellevæggen.
Illustrator: Lotte Thorup
© Nucleus Forlag ApS • ISBN 978-87-93647-09-1
Figur 263
Strukturformel for sphingomyelin.
Illustrator: Hanne Wolff og Lotte Thorup
© Nucleus Forlag ApS • ISBN 978-87-93647-09-1
Figur 267
Frugt og honning indeholder simple carbohydrater.
Illustrator: Lotte Thorup
© Nucleus Forlag ApS • ISBN 978-87-93647-09-1
Figur 272
Carbohydrater opdeles i mono-, di-, oligo- og polysaccharider.
Illustrator: Lotte Thorup
© Nucleus Forlag ApS • ISBN 978-87-93647-09-1
Figur 273
Relativ sødeevne i forhold til sucrose.
Illustrator: Lotte Thorup
© Nucleus Forlag ApS • ISBN 978-87-93647-09-1
Figur 274
Strukturformler for tri-, pent- og hexoser.
Illustrator: Lotte Thorup
© Nucleus Forlag ApS • ISBN 978-87-93647-09-1
Figur 275
a. Struktur for en carbonylgruppe.
b. Funktionel gruppe i et aldehyd og en keton.
Illustrator: Hanne Wolff
© Nucleus Forlag ApS • ISBN 978-87-93647-09-1
Figur 276
Strukturformel for glucose og fructose.
Illustrator: Hanne Wolff og Lotte Thorup
© Nucleus Forlag ApS • ISBN 978-87-93647-09-1
Figur 277
Strukturformel for glucose tegnet som Fischer-projektion og i 3D.
Illustrator: Hanne Wolff og Lotte Thorup
© Nucleus Forlag ApS • ISBN 978-87-93647-09-1
Figur 278
Nogle naturligt forekomende ᴅ-carbohydrater.
Illustrator: Hanne Wolff og Lotte Thorup
© Nucleus Forlag ApS • ISBN 978-87-93647-09-1
Figur 279
ᴅ- og ʟ-glucose er spejlbilleder af hinanden.
Illustrator: Hanne Wolff og Lotte Thorup
© Nucleus Forlag ApS • ISBN 978-87-93647-09-1
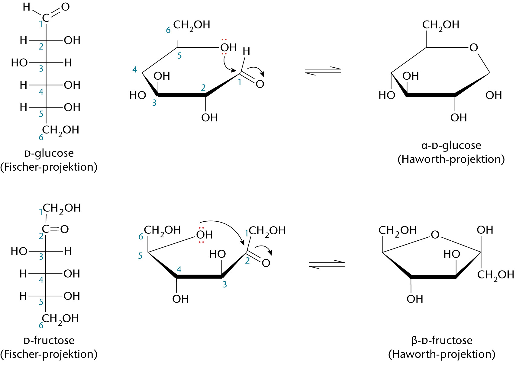
Figur 280
Glucose danner en 6-leddet ring, mens fructose danner en 5-leddet ring.
Illustrator: Hanne Wolff og Lotte Thorup
© Nucleus Forlag ApS • ISBN 978-87-93647-09-1
Figur 281
Haworth-projektioner af nogle naturligt forekommende monosaccharider.
Illustrator: Hanne Wolff og Lotte Thorup
© Nucleus Forlag ApS • ISBN 978-87-93647-09-1
Figur 283
Sucrose dannes i bladene og transporteres til rødderne via sikar.
Illustrator: Claus Lunau
© Nucleus Forlag ApS • ISBN 978-87-93647-09-1
Figur 284 a
Amylose danner en helix-struktur.
Illustrator: Lotte Thorup og Hanne Wolff
© Nucleus Forlag ApS • ISBN 978-87-93647-09-1
Figur 284 b
Amylopectin danner en forgrenet struktur.
Illustrator: Lotte Thorup og Hanne Wolff
© Nucleus Forlag ApS • ISBN 978-87-93647-09-1
Figur 285
Stivelse oplagres i stivelseskorn.
Illustrator: Lotte Thorup
© Nucleus Forlag ApS • ISBN 978-87-93647-09-1
Figur 286 a
Amylose med triiodid i spiralen danner en blå farve.
Illustrator: Lotte Thorup
© Nucleus Forlag ApS • ISBN 978-87-93647-09-1
Figur 288 a
Cellulose består af β-D-glucose der er bundet sammen af β-1,4-glucosidbindinger.
Illustrator: Hanne Wolff og Lotte Thorup
© Nucleus Forlag ApS • ISBN 978-87-93647-09-1
Figur 288 b
Plantefibre består af kæder af cellulose bundet sammen af hydrogenbindinger.
Illustrator: Hanne Wolff og Lotte Thorup
© Nucleus Forlag ApS • ISBN 978-87-93647-09-1
Figur 289
Glycogen består af utallige glucoseenheder.
Illustrator: Häggström, Mikael. 2014. Medical gallery of Mikael Häggström 2014. WikiJournal of Medicine 1 (2). DOI:10.15347/wjm/2014.008. ISSN 2002-4436. Public Domain
© Nucleus Forlag ApS • ISBN 978-87-93647-09-1
Figur 290
Fehlings væske kan kun reduceres hvis en glucosering har et frit carbonatom nr. 1.
Illustrator: Lotte Thorup
© Nucleus Forlag ApS • ISBN 978-87-93647-09-1
Figur 291
Fotosyntese består af den lysafhængige og den lysuafhængige proces.
Illustrator: Lotte Thorup
© Nucleus Forlag ApS • ISBN 978-87-93647-09-1
Figur 292
ATP dannes ved kondensation mellem ADP og phosphat.
Illustrator: Hanne Wolff og Lotte Thorup
© Nucleus Forlag ApS • ISBN 978-87-93647-09-1
Figur 293
Adeninnucleotid der indgår i RNA.
Illustrator: Hanne Wolff og Lotte Thorup
© Nucleus Forlag ApS • ISBN 978-87-93647-09-1
Figur 294
Reduktion af NADP+ til NADPH.
Illustrator: Hanne Wolff og Lotte Thorup
© Nucleus Forlag ApS • ISBN 978-87-93647-09-1
Figur 295
Strukturformel af NADH og NADPH.
Illustrator: Hanne Wolff og Lotte Thorup
© Nucleus Forlag ApS • ISBN 978-87-93647-09-1
Figur 296
Chloroplastre er omgivet af en dobbeltmembran, og inden i findes thylakoidmembranen og stroma.
Illustrator: Lotte Thorup
© Nucleus Forlag ApS • ISBN 978-87-93647-09-1
Figur 297
Mange chlorophylmolekyler er samlet i fotosystemer i thylakoidmembranen.
Illustrator: Lotte Thorup
© Nucleus Forlag ApS • ISBN 978-87-93647-09-1
Figur 298
Kemisk struktur af β-caroten.
Illustrator: Hanne Wolff og Lotte Thorup
© Nucleus Forlag ApS • ISBN 978-87-93647-09-1
Figur 299
Absorptionsspektrum for chlorophyl a og b samt carotenoider.
Illustrator: Lotte Thorup
© Nucleus Forlag ApS • ISBN 978-87-93647-09-1
Figur 300
TLC af fotosyntesepigmenter.
Illustrator: Lotte Thorup
© Nucleus Forlag ApS • ISBN 978-87-93647-09-1
Figur 301
De lysafhængige reaktioner.
Illustrator: Lotte Thorup
© Nucleus Forlag ApS • ISBN 978-87-93647-09-1
Figur 302
Energi i de elektroner der transporteres i de lysafhængige reaktioner.
Illustrator: Lotte Thorup
© Nucleus Forlag ApS • ISBN 978-87-93647-09-1
Figur 303
Ved reduktion af plastoquinon dannes plastoquinol.
Illustrator: Lotte Thorup
© Nucleus Forlag ApS • ISBN 978-87-93647-09-1
Figur 304
Den tertiære struktur af plastocyanin.
Illustrator: Frank Grønlund, Protein Workshop PDB ID: 1AG6
© Nucleus Forlag ApS • ISBN 978-87-93647-09-1
Figur 305
Rubisco.
Illustrator: Frank Grønlund, Protein Workshop PDB ID: 1RCX
© Nucleus Forlag ApS • ISBN 978-87-93647-09-1
Figur 306
Calvin-cyklus
Illustrator: Lotte Thorup og Hanne Wolff
© Nucleus Forlag ApS • ISBN 978-87-93647-09-1
Figur 307
Hastighed af fotosyntese afhænger af lysintensitet, koncentration af cabondioxid og temperatur.
Illustrator: Lotte Thorup
© Nucleus Forlag ApS • ISBN 978-87-93647-09-1
Figur 308
Co-kultur af fotosyntetiserende cyanobakterier.
Illustrator: Lotte Thorup
© Nucleus Forlag ApS • ISBN 978-87-93647-09-1
Figur 309
Omvendt fotosyntese.
Illustrator: Lotte Thorup
© Nucleus Forlag ApS • ISBN 978-87-93647-09-1
Figur 310
Princippet i omvendt fotosyntese.
Illustrator: Hanne Wolff og Lotte Thorup
© Nucleus Forlag ApS • ISBN 978-87-93647-09-1
Figur 315
Pyruvat.
Illustrator: molekuul_be/Shutterstock.com
© Nucleus Forlag ApS • ISBN 978-87-93647-09-1
Figur 316
Oversigt over carbohydraternes intermediære stofskifte.
Illustrator: Lotte Thorup
© Nucleus Forlag ApS • ISBN 978-87-93647-09-1
Figur 317
Sammenhæng mellem katabolisme og anabolisme.
Illustrator: Lotte Thorup
© Nucleus Forlag ApS • ISBN 978-87-93647-09-1
Figur 318
Oversigt over hovedklasser af enzymer og de reaktioner de katalyserer.
Illustrator: Lotte Thorup og Hanne Wolff
© Nucleus Forlag ApS • ISBN 978-87-93647-09-1
Figur 319
Oxidationstrin for carbon.
Illustrator: Lotte Thorup og Hanne Wolff
© Nucleus Forlag ApS • ISBN 978-87-93647-09-1
Figur 320
a. 3D-struktur af malatdehydrogenase.
b. Reaktionen enzymet katalyserer.
Illustrator: a. Protein Workshop PDB ID: 2DFD. b. Hanne Wolff og Lotte Thorup
© Nucleus Forlag ApS • ISBN 978-87-93647-09-1
Figur 321
a. Omdannelse af succinat til fumarat i citratcyklus.
b. 3D-struktur af succinatdehydrogenase.
Illustrator: a. Hanne Wolff og Lotte Thorup. b. Zephyris, en.wikipedia.org. CC BY 3.0. https://creativecommons.org/licenses/by/3.0/
© Nucleus Forlag ApS • ISBN 978-87-93647-09-1
Figur 322
Oxiderede og reducerede former af coenzymerne NADH og FADH2.
Illustrator: Hanne Wolff og Lotte Thorup
© Nucleus Forlag ApS • ISBN 978-87-93647-09-1
Figur 323 a
ATP før og efter afgivelse af funktionel gruppe.
Illustrator: Hanne Wolff og Lotte Thorup
© Nucleus Forlag ApS • ISBN 978-87-93647-09-1
Figur 323 b
Acetyl-coenzym A før og efter afgivelse af funktionel gruppe.
Illustrator: Hanne Wolff og Lotte Thorup
© Nucleus Forlag ApS • ISBN 978-87-93647-09-1
Figur 324
a. En kinase er en transferase der overfører phosphatgrupper.
b. 3D-struktur af hexokinase.
Illustrator: a. Hanne Wolff og Lotte Thorup. b. Frank Grønlund, Protein Workshop PDB ID: 1HKC
© Nucleus Forlag ApS • ISBN 978-87-93647-09-1
Figur 325
En acetylgruppe.
Illustrator: Hanne Wolff og Lotte Thorup
© Nucleus Forlag ApS • ISBN 978-87-93647-09-1
Figur 326
Hydrolyse af amylose.
Illustrator: Hanne Wolff og Lotte Thorup
© Nucleus Forlag ApS • ISBN 978-87-93647-09-1
Figur 327
Fructose-1,6-bisphosphat spaltes i to mindre molekyler.
Illustrator: Hanne Wolff og Lotte Thorup
© Nucleus Forlag ApS • ISBN 978-87-93647-09-1
Figur 328
Omdannelsen af puryvat til ethanol katalyseres af en lyase eferfulgt af en oxidoreduktase.
Illustrator: Hanne Wolff og Lotte Thorup
© Nucleus Forlag ApS • ISBN 978-87-93647-09-1
Figur 329
a. Omdannelse af fumarat til malat.
b. 3D-struktur af fumarathydratase.
Illustrator: a. Hanne Wolff og Lotte Thorup. b. Frank Grønlund, Protein Workshop PDB ID: 3E04
© Nucleus Forlag ApS • ISBN 978-87-93647-09-1
Figur 330
Glucose-6-phosphatisomerase omdanner i glycolysen glucose-6-phosphat til fructose-6-phosphat.
Illustrator: Hanne Wolff og Lotte Thorup
© Nucleus Forlag ApS • ISBN 978-87-93647-09-1
Figur 331 a
DNA-ligaser sammenføjer brud eller huller i DNA-strenge.
Illustrator: Claus Lunau
© Nucleus Forlag ApS • ISBN 978-87-93647-09-1
Figur 331 b
Energien til processen kommer fra spaltning af ATP.
Illustrator: Hanne Wolff og Lotte Thorup
© Nucleus Forlag ApS • ISBN 978-87-93647-09-1
Figur 332
Omdannelse af succinyl-CoA til succinat katalyseres af en ligase.
Illustrator: Hanne Wolff og Lotte Thorup
© Nucleus Forlag ApS • ISBN 978-87-93647-09-1
Figur 333
ATP-syntase er en translokase.
Illustrator: Lotte Thorup
© Nucleus Forlag ApS • ISBN 978-87-93647-09-1
Figur 334
Glycolysen.
a. Investeringsfasen.
b. Udbytterfasen.
Illustrator: Hanne Wolff og Lotte Thorup
© Nucleus Forlag ApS • ISBN 978-87-93647-09-1
Figur 335
Phosphat.
Illustrator: molekull_be/Shutterstock.com
© Nucleus Forlag ApS • ISBN 978-87-93647-09-1
Figur 336 a
Betydning af cofaktoren Mg2+ for enzymet 6-phosphofructokinases katalyserende virkning.
Illustrator: Hanne Wolff og Lotte Thorup
© Nucleus Forlag ApS • ISBN 978-87-93647-09-1
Figur 336 b
Placering af substratet fructose-6-phosphat og coenzymet ATP i det aktive center.
Illustrator: Frank Grønlund og Lotte Thorup, Protein Workshop PDB ID: 3UQD
© Nucleus Forlag ApS • ISBN 978-87-93647-09-1
Figur 337
Pyruvats videre omdannelse under aerobe, anaerobe eller hypoxiske forhold.
Illustrator: Lotte Thorup
© Nucleus Forlag ApS • ISBN 978-87-93647-09-1
Figur 338 b
Pyruvat omdannes ved reduktion til lactat.
Illustrator: Hanne Wolff og Lotte Thorup
© Nucleus Forlag ApS • ISBN 978-87-93647-09-1
Figur 340
Aerob respiration af glucose.
Illustrator: Lotte Thorup
© Nucleus Forlag ApS • ISBN 978-87-93647-09-1
Fgiur 341
Oxidativ decarboxylering af pyruvat ved hjælp af pyruvatdehydrogenase.
Illustrator: Hanne Wolff og Lotte Thorup
© Nucleus Forlag ApS • ISBN 978-87-93647-09-1
Figur 342
Citratcyklus.
Illustrator: Lotte Thorup og Hanne Wolff
© Nucleus Forlag ApS • ISBN 978-87-93647-09-1
Figur 344
Elektrontransportkæde og ATP-syntase placeret i mitochondriets indre membran.
Illustrator: Lotte Thorup
© Nucleus Forlag ApS • ISBN 978-87-93647-09-1
Figur 345
Oxideret og reduceret form af ubiquinon.
Illustrator: Hanne Wolff og Lotte Thorup
© Nucleus Forlag ApS • ISBN 978-87-93647-09-1
Figur 346
a. Cytochrom c der i midten indeholder en hæmgruppe.
b. Hæmgruppen er en prostetisk gruppe da den er bundet til sidekæder af aminosyrer i proteindelen.
Illustrator: a. Frank Grønlund, Protein Workshop PDB ID: CYCS. b. Hanne Wolff og Lotte Thorup
© Nucleus Forlag ApS • ISBN 978-87-93647-09-1
Figur 347 a
a. H+-transporterende to-sektor ATPase og dens placering i midten af den indre membran.
b. ATPasen set fra oven.
Illustrator: Lotte Thorup
© Nucleus Forlag ApS • ISBN 978-87-93647-09-1
Figur 348
Stofregnskab for oxidation af et molekyle glucose.
Illustrator: Lotte Thorup
© Nucleus Forlag ApS • ISBN 978-87-93647-09-1
Figur 349
ATP-regnskab for oxidation af et molekyle glucose.
Illustrator: Lotte Thorup
© Nucleus Forlag ApS • ISBN 978-87-93647-09-1
Figur 350
Regulering af ATP-produktion.
Illustrator: Lotte Thorup
© Nucleus Forlag ApS • ISBN 978-87-93647-09-1
Figur 351
Feedback-inhibering.
Illustrator: Lotte Thorup
© Nucleus Forlag ApS • ISBN 978-87-93647-09-1
Figur 356
a. Resultat af en hydrolyse af acetylsalicylsyre ved pH 7 og 37 ºC.
b. De aktuelle stofmængdekoncentrationer som funktion af tiden.
Illustrator: Lotte Thorup
© Nucleus Forlag ApS • ISBN 978-87-93647-09-1
Figur 357
Den øjeblikkelige reaktionshastighed bestemmes som hældningen af tangenten i et punkt.
Illustrator: Lotte Thorup
© Nucleus Forlag ApS • ISBN 978-87-93647-09-1
Figur 358
Aktuelle stofmængdekoncentrationer målt i blodet på en person som har fået indsprøjtet 650 mg acetylsalicylsyre.
Illustrator: Lotte Thorup
© Nucleus Forlag ApS • ISBN 978-87-93647-09-1
Figur 359
Energiprofil for en kemisk reaktion.
Illustrator: Lotte Thorup
© Nucleus Forlag ApS • ISBN 978-87-93647-09-1
Figur 360
a. Jo højere koncentration, jo højere sansynlighed for at partiklerne støder sammen med nok kinetisk energi til at reaktionen kan forløbe.
b. En analogi kan laves til radiobiler. Jo flere biler, jo større sandsynlighed for at de støder sammen.
Illustrator: a. Lotte Thorup, b. Fun Way Illustration/Shutterstock.com
© Nucleus Forlag ApS • ISBN 978-87-93647-09-1
Figur 361
Den aktuelle stofmængdekoncentration af acetylsalicylsyre som funktion af tiden.
Illustrator: Lotte Thorup
© Nucleus Forlag ApS • ISBN 978-87-93647-09-1
Figur 362
Hastighedsudtryk for 0,. 1. g 2. ordens reaktioner.
Illustrator: Lotte Thorup
© Nucleus Forlag ApS • ISBN 978-87-93647-09-1
Figur 364 a
En knust brusetablet har et større overfladeareal end en hel brusetablet.
Illustrator: Lotte Thorup
© Nucleus Forlag ApS • ISBN 978-87-93647-09-1
figur 365
Når temperaturen øges, får flere molekyler en højere kinetisk energi.
Illustrator: Lotte Thorup
© Nucleus Forlag ApS • ISBN 978-87-93647-09-1
Figur 366
Fordeling af den kinetiske energi i molekylernes sammenstød.
Illustrator: Lotte Thorup
© Nucleus Forlag ApS • ISBN 978-87-93647-09-1
Figur 367
Fordeling af den kinetiske energi i molekylernes sammenstød ved to forskellige temperaturer.
Illustrator: Lotte Thorup
© Nucleus Forlag ApS • ISBN 978-87-93647-09-1
Figur 368
Energiprofil for en kemisk reaktion med og uden tilsætning af katalysator.
Illustrator: Lotte Thorup
© Nucleus Forlag ApS • ISBN 978-87-93647-09-1
Figur 369
Fordeling af den kinetiske energi i molekylernes sammenstød.
Illustrator: Lotte Thorup
© Nucleus Forlag ApS • ISBN 978-87-93647-09-1
Figur 370
Reaktionsmekanisme og reaktionsprofil for addition af dihydrogen til ethen.
Illustrator: Lotte Thorup
© Nucleus Forlag ApS • ISBN 978-87-93647-09-1
Figur 371
Substratet bindes til enzymets aktive center og danner et enzym-substra-kompleks.
Illustrator: Lotte Thorup
© Nucleus Forlag ApS • ISBN 978-87-93647-09-1
Figur 372
Energiprofil for en ikke-katalyseret og en enzymkatalyseret reaktion.
Illustrator: Lotte Thorup
© Nucleus Forlag ApS • ISBN 978-87-93647-09-1
Figur 373
Temperaturoptimum for humane enzymer og for enzymer fra bakterier i varme kilder.
Illustrator: Lotte Thorup
© Nucleus Forlag ApS • ISBN 978-87-93647-09-1
Figur 374
Udsnit af et enzym der indeholder fire sidekæder med syre-baseegenskaber.
Illustrator: Hanne Wolff og Lotte Thorup
© Nucleus Forlag ApS • ISBN 978-87-93647-09-1
Figur 375
pH-optimum for lipase, pepsin og amylase.
Illustrator: Lotte Thorup
© Nucleus Forlag ApS • ISBN 978-87-93647-09-1
Figur 376
Pepsinogen er inaktivt da det aktive center er blokeret.
Illustrator: Lotte Thorup
© Nucleus Forlag ApS • ISBN 978-87-93647-09-1
Figur 378
Enzymaktivitet af tyrosinase ved:
a. Forskellige pH-værdier.
b. Forskellige temperaturer.
Illustrator: Lotte Thorup
© Nucleus Forlag ApS • ISBN 978-87-93647-09-1
Figur 379
a. En kompetitiv inhibitor konkurrerer med substratet om at binde til enzymets aktive center.
b. En non-kompetitiv binder ikke til det aktive center.
Illustrator: Lotte Thorup
© Nucleus Forlag ApS • ISBN 978-87-93647-09-1
Figur 380
Eksemplarer på lægemidler der er kompetitive inhibitorer.
Illustrator: Lotte Thorup
© Nucleus Forlag ApS • ISBN 978-87-93647-09-1
Figur 381
Grafen for Michaelis-Menten ligningen.
Illustrator: Lotte Thorup
© Nucleus Forlag ApS • ISBN 978-87-93647-09-1
Figur 382
Grafen for Michaelis-Menten ligningen.
Illustrator: Lotte Thorup
© Nucleus Forlag ApS • ISBN 978-87-93647-09-1
Figur 383
Udvalgte enzymers funktion, substrat og turnover-number.
Illustrator: Lotte Thorup
© Nucleus Forlag ApS • ISBN 978-87-93647-09-1
Figur 384
Begyndelseshastigheden bestemmes som tangentens hældning.
Illustrator: Lotte Thorup
© Nucleus Forlag ApS • ISBN 978-87-93647-09-1
Figur 385
Michaelis-Menten plot for alkalisk phospatase.
Illustrator: Lotte Thorup
© Nucleus Forlag ApS • ISBN 978-87-93647-09-1
Figur 386
Lineweaver-Burk plot.
Illustrator: Lotte Thorup
© Nucleus Forlag ApS • ISBN 978-87-93647-09-1
Figur 388
Fra stamcelle til differentieret celle.
Illustrator: Lotte Thorup
© Nucleus Forlag ApS • ISBN 978-87-93647-09-1
Figur 389
Ud fra stamceller kan der ske en differentiering til forskellige celletyper.
Illustrator: Lotte Thorup og BlueRingMedia/Shutterstock.com
© Nucleus Forlag ApS • ISBN 978-87-93647-09-1
Figur 390
Oversigt over stamcelletyper.
Illustrator: Lotte Thorup
© Nucleus Forlag ApS • ISBN 978-87-93647-09-1
Figur 393
En indfoldning i blastocysten starter dannelsen af tre kimlag.
Illustrator: Lotte Thorup
© Nucleus Forlag ApS • ISBN 978-87-93647-09-1
Figur 394
Differentiering af en hæmatopoietisk celle.
Illustrator: Lotte Thorup
© Nucleus Forlag ApS • ISBN 978-87-93647-09-1
Figur 395
Isolering af embryonale stamceller.
Illustrator: Lotte Thorup
© Nucleus Forlag ApS • ISBN 978-87-93647-09-1
Figur 396
Knoglemarvstransplantation.
Illustrator: Claus Lunau
© Nucleus Forlag ApS • ISBN 978-87-93647-09-1
Figur 399
Fremstilling af iPS.
Illustrator: Lotte Thorup
© Nucleus Forlag ApS • ISBN 978-87-93647-09-1
Figur 400
Forskellige stadier i en behandling med iPS.
Illustrator: Lotte Thorup
© Nucleus Forlag ApS • ISBN 978-87-93647-09-1
Figur 402
Forskellige niveauer af genregulering.
Illustrator: Claus Lunau
© Nucleus Forlag ApS • ISBN 978-87-93647-09-1
Figur 403
Elektronmikroskopisk foto af heterokromatin og eukromatin i en cellekerne:
Illustrator: Jose Luis Calvo/Shutterstock.com og Lotte Thorup
© Nucleus Forlag ApS • ISBN 978-87-93647-09-1
Figur 405
Et nucleosom omviklet af DNA.
Illustrator: molekuul_be/Shutterstock.com
© Nucleus Forlag ApS • ISBN 978-87-93647-09-1
Figur 406
Acetylering og deacetylering af lysin.
Illustrator: Hanne Wolff og Lotte Thorup
© Nucleus Forlag ApS • ISBN 978-87-93647-09-1
Figur 407
De hyppigste aminosyremodifikationer i histonhaler.
Illustrator: Lotte Thorup
© Nucleus Forlag ApS • ISBN 978-87-93647-09-1
Figur 408
Methylering af cytosin.
Illustrator: Hanne Wolff og Lotte Thorup
© Nucleus Forlag ApS • ISBN 978-87-93647-09-1
Figur 410
Transskriptions-initieringskompleks.
Illustrator: Lotte Thorup
© Nucleus Forlag ApS • ISBN 978-87-93647-09-1
Figur 411
a. Transskriptionen kan øges via enhancher-sekvenser, eller b. hæmmes via silencer-sekvenser.
Illustrator: Lotte Thorup
© Nucleus Forlag ApS • ISBN 978-87-93647-09-1
Figur 412
Alternative splejsninger.
Illustrator: Lotte Thorup
© Nucleus Forlag ApS • ISBN 978-87-93647-09-1
Figur 413
Et typisk vækstmønster i:
a. En godartet svulst.
b. Kræft.
Illustrator: Lotte Thorup
© Nucleus Forlag ApS • ISBN 978-87-93647-09-1
Figur 414
De hyppigste kræftsygdomme hos mænd og kvinder.
Illustrator: Lotte Thorup
© Nucleus Forlag ApS • ISBN 978-87-93647-09-1
Figur 415
Antal af kræfttilfælde og dødelighed fordelt på køn og alder.
Illustrator: Lotte Thorup
© Nucleus Forlag ApS • ISBN 978-87-93647-09-1
Figur 416
Udvikling af en kræftsvulst over tid.
Illustrator: Claus Lunau
© Nucleus Forlag ApS • ISBN 978-87-93647-09-1
Figur 418
Ændring af et proto-oncogen til et oncogen.
Illustrator: Lotte Thorup
© Nucleus Forlag ApS • ISBN 978-87-93647-09-1
Figur 419
Aktivering af Ras sender besked til cellekernen via MAPK-signaleringsvejen.
Illustrator: Lotte Thorup
© Nucleus Forlag ApS • ISBN 978-87-93647-09-1
Figur 420
Transskriptionsfaktoren Myc-Max.
Illustrator: petarg/Shutterstock.com og Lotte Thorup
© Nucleus Forlag ApS • ISBN 978-87-93647-09-1
Figur 421
Mutationer kan føre til aktivering af et oncogen eller inaktivering af et tumorsuppressorgen.
Illustrator: Lotte Thorup
© Nucleus Forlag ApS • ISBN 978-87-93647-09-1
Figur 422
DNA-skader og cellulært stress aktiverer p53.
Illustrator: Lotte Thorup
© Nucleus Forlag ApS • ISBN 978-87-93647-09-1
Figur 423
DNA-skade aktiverer p53.
Illustrator: Lotte Thorup
© Nucleus Forlag ApS • ISBN 978-87-93647-09-1
Figur 424 a
For hver celledeling forkortes telomererne, og med tiden dør cellen.
Illustrator: Lotte Thorup
© Nucleus Forlag ApS • ISBN 978-87-93647-09-1















































































































































































































































































































































































